2026年学生暑期专业研修奖学金获奖名单公示
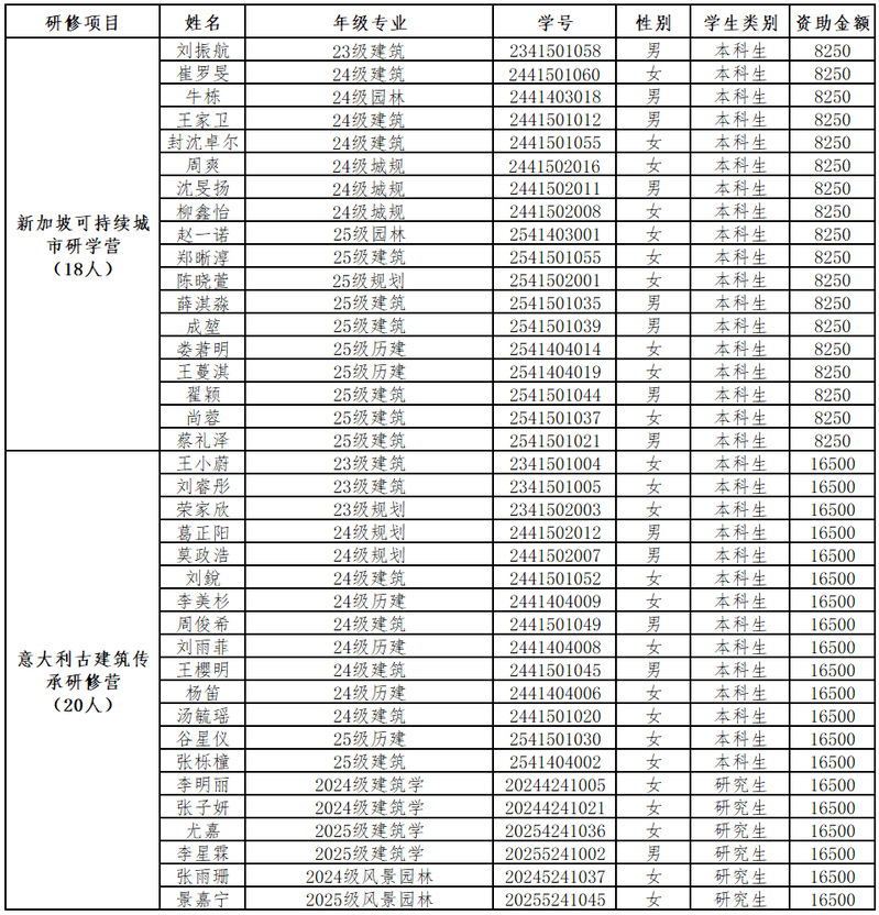
根据《苏州大学金螳螂建筑学院学生暑期专业研修奖学金实施细则》,经学生申请,院学生暑期专业研修奖学金评审小组审查、讨论决定,拟给予以下38名同学不同额度的奖学金资助,具体名单如下:
对上述名单若有异议,请在4月16日前联系金螳螂建筑学院学生工作办公室65880199。
特此公示!
苏州大学金螳螂建筑学院学生暑期专业研修奖学金评审小组
2026年4月9日